

刚刚
我省2025年景东说念主高考收货公布
你查到了吗?
11月18日16:00起
省阐扬检会院向在成东说念主高考报名系统
绑定的考外行机推送收货
11月18日16:20起
考生可通过
省阐扬检会院官渺小程序
百度智能小程序查询收货
最新音书
成东说念主高考各批次录取最低分数线
极新出炉了
做生意讨决定,2025年广东省各类成东说念主高档学校招生各批次录取最低分数线(文化课总分)如下:
一、第一批录取院校
(一)专科升本科
文史、中医类,法学类,阐扬类,医学类,农学类:120分
艺术类,体育类:115分
理工、管制类:100分
(二)高中源头本科
文史类,外语类:185分
理工类:175分
体育类,艺术类:170分
二、第二批录取院校(高中源头专科脱产班)
理工类,文史类,外语类,体育类,艺术类:110分
三、第三批录取院校(高中源头专科非脱产班)
理工类,文史类,外语类,体育类,艺术类:100分
收货和分数线公布后
接下来
即是填报志愿、招生录取等事宜
昨天(11月17日)
省阐扬检会院公布了
广东省2025年景东说念主高校招生专科筹画
小媒君初步统计
招生筹画超过26万个
沿路来看确定!
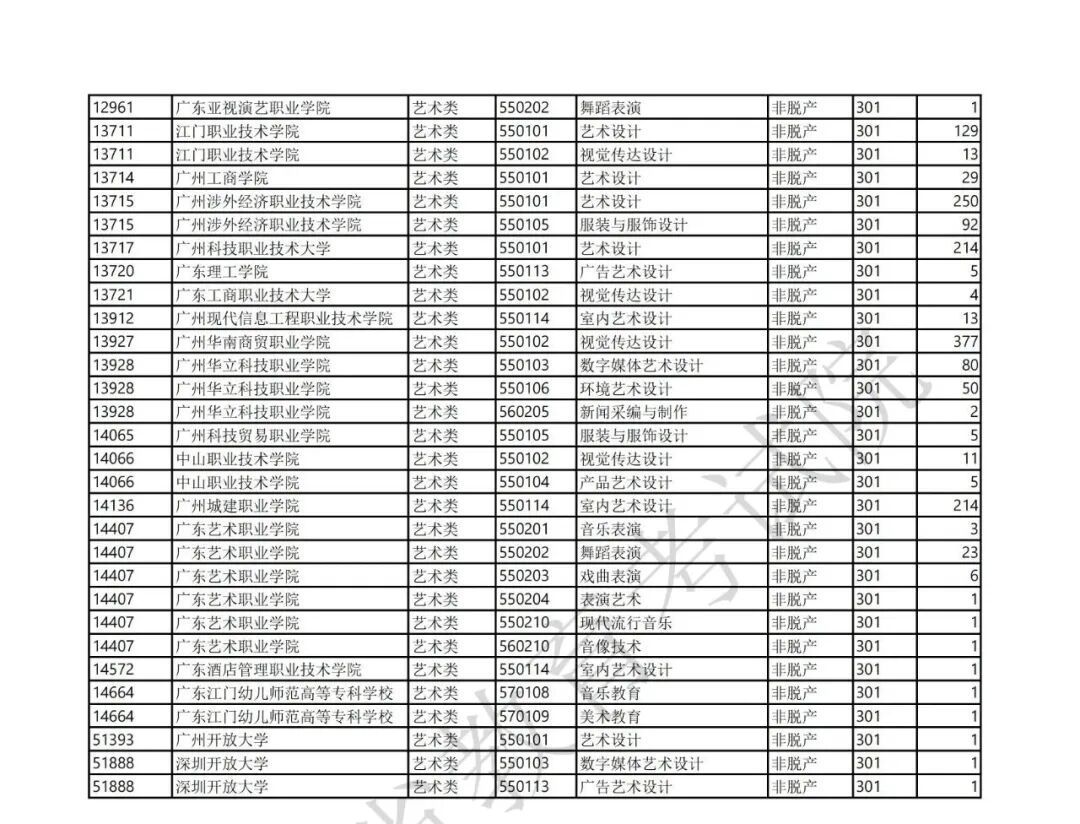
我省2025年景东说念主高校招生筹画第二阶段编制责任如故完成,现将各校在粤招生筹画给以公布。这次公布的招生筹画,由各省级阐扬行政部门、联系部门(单元)阐扬司(局)字据阐扬部备案、下达的招生规模确定。
附表:
1.广东省2025年景东说念主高校招生专科筹画表(第一批专科源头本科)
2.广东省2025年景东说念主高校招生专科筹画表(第一批高中源头本科)
3.广东省2025年景东说念主高校招生专科筹画表(第二批高中源头专科脱产)
4.广东省2025年景东说念主高校招生专科筹画表(第三批高中源头专科非脱产)
识别下方二维码查阅附表







































*有什么思说的,快来给小媒君留言*
起原:广东阐扬传媒详细广东省阐扬检会院
转载时请表明转自广东阐扬传媒kaiyun网站,投稿或营业合营陈说要津词 投稿/合营
